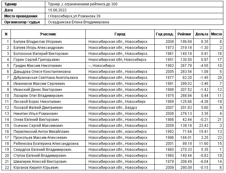
Турнир до 300, 15.06.2022