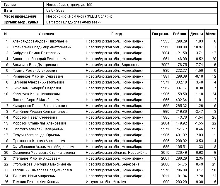
Турнир до 450, 02.07.2022